附近卖身电话100元,微信群,杭州学生有偿约,合肥品茶妹子,广州品茶推荐

电气行业的干货分享,电线电缆成缆计算公式!

电气行业的干货分享,电线电缆成缆计算公式!

时间:2020-8-17 作者:root
广告图

1、瓦形线芯成缆计算公式:

两等截面圆形绝缘线芯成缆外径:D=2d

三等截面圆形绝缘线芯成缆外径:D=2.154d

四等截面圆形绝缘线芯成缆外径:D=2.414d

五等截面圆形绝缘线芯成缆外径:D=2.7d

3+1(主线为扇形),其成缆外径近似公式D=2.31h

4芯(为扇形),其成缆外径近似公式D=2.2h

3芯(为扇形),其成缆外径近似公式D=2.11h

3+2、4+1(主线为瓦形),其成缆外径近似公式D=2h+d(园形线芯外径) 三大一小圆形:D=(3*d大+d小)*0.61

四大一小圆形:D=(4*d大+d小)*0.54

三大二小瓦形、四大一小瓦形:D=2.1547*h瓦高+d小

2、成缆并线模的选用计算公式:

一、 圆形线芯成缆并线模的选用计算公式公式:

①、2等芯 D=2d ②、3等芯 D=2.16d

③、4等芯 D=2.42d ④、5等芯 D=2.7d

⑤、6(7)等芯 D=3d ⑥、3*1芯 D=2.4(3d大+d小)/4

⑦、3+2芯 D=2.7(3d大+2d小)/5 ⑧、4+1芯 D=2.7(4d大+d?。?5

二、 扇形线芯成缆并线模的选用计算公式公式:

①、2等芯 D=2d ②、3等芯 D=2.16d

③、3+1芯 D=2.31(3d大+d小)/4 ④、4等芯 D=2.31d

⑤、5等芯 D=2.42d ⑥、4+1芯 D=2.42(4d大+d小)/5

⑦、3+2芯 D=2.42(3d大+2d?。?5

例如:YJV 3×240+2×120 240线芯扇高21mm,120线芯15.2mm,那么我们成缆的理论外径为2.42×(3×21+2×15.2)÷5=45.2,我们就可以选用45mm或46mm的模具了。

注:以上D表示成缆外径,d表示圆形线芯直径或扇形高度。

为方便成缆时快速准确的选用并线模,此计算方式以作参考。

多芯电缆圆形绝缘线芯成缆外径计算公式及推导:

设绝缘线芯外径为d, 成缆外径为D,成缆外径计算公式及推导如下:

电气行业的干货分享,电线电缆成缆计算公式!

电缆直径计算公式

三大一小圆形:D=(3*d大+d小)*0.61

四大一小圆形:D=(4*d大+d小)*0.54

三大一小圆形、四大一小圆形:D=2.1547*h瓦高+d小

五大一小计算公式 D=0.5*(5D大+D?。?/p>

三大四小圆形,做1+6排列,其中一小放中芯,外层大小间隔排列,外径怎么算 如:ycw 3*2.5+4*0.75。

还有就是,放置中间的小线芯外径有没有要求,是大线芯外径的?%时(范围),比较全适,成缆圆整。

五大一小计算公式:D=0.5*(5D大+D?。?/p>

三大一小圆形:D=(3*d大+d小)*0.61

四大一小圆形:D=(4*d大+d小)*0.54

三大一小圆形、四大一小圆形:D=2.1547*h瓦高+d小

电气行业的干货分享,电线电缆成缆计算公式!

三大二小”线芯结构的成缆外径的计算

“三大二小”线芯结构的成缆外径的计算,通常采用查图解曲线表的方法[1],然而计算精度很难保证。特别是利用“电子表格”进行结构计算时非常不方便。因此,本文利用Mathcad软件的计算方法。

1. 原理如图一所示,设“三大二小”的大绝缘线芯直径为d1,

小绝缘线芯直径为d2,绝缘线芯的成缆外径为D。令

:在△OO1O2中,由余弦定理得:

从图一可知:

其中:

综合(1)、(2)、(3)式得:

整理,得:

2.计算“三大二小”线芯结构的成缆外径、空隙系数及空隙面积 众所周知,“三大二小”线芯结构成缆外径在区间,所以值必须在范围内。令,则(4)变换为:

电气行业的干货分享,电线电缆成缆计算公式!

电气行业的干货分享,电线电缆成缆计算公式!

由(5)式可见,我们还不能用一般方法来求解方程的根值,然而用Mathcad软件的Root函数求解求“三大二小”线芯结构成缆外径、空隙系数及空隙面积的方程的根则非常容易。

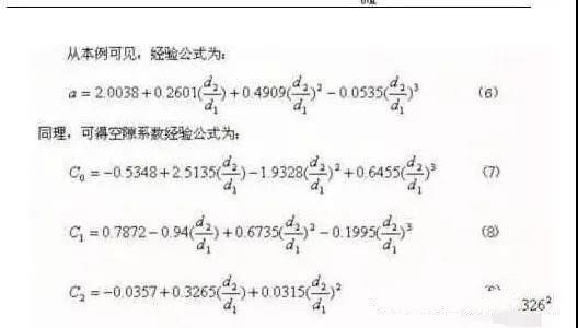
3.计算“三大二小”线芯结构成缆外径、空隙系数的经验公式 利用计算“三大二小”线芯结构成缆外径的方法,可以构成与对应表格(见a与b等关系矩阵A),同时利用Mathcad编程语言,进行多项式拟合,即得到计算“三大二小”线芯结构成缆外径的经验公式。其程序如下:

电气行业的干货分享,电线电缆成缆计算公式!

电气行业的干货分享,电线电缆成缆计算公式!

4.结论 综上所述,快速计算“三大二小”线芯结构成缆外径,不论采用图表法,还是经验公式,都能给出正确结果。与“电子表格”软件进行结构尺寸计算相比,能收到事半功倍的效果。希望大家喜欢,错漏之处敬请指教。

22条简单易懂的电线电缆知识…最适合新手看的哦…

1.绞合节距是电缆某元件以螺旋形旋转一周时沿轴向所前进的距离

2.绞入率是指在一个节距内单线的实际长度与绞线节距长度的差与节距长度之比

3.影响扇形绞合导体截面积的过程参数有单线根数、单线直径、绞合节距、扇形高度

4.标称截面是用以表示系列规格的一种近似的截面

5.线合导体其节距的改变是通过更换绞笼或牵引主从齿轮搭牙来实现的

6.挤塑是将配制成的塑料混合物,连续均匀挤包在导体或电缆芯上的过程

7.屏蔽是将电场磁场限制在电缆内或电缆元件内,并?;さ缋旅馐芡獾绯?、磁场影响的屏蔽层.

8.影响挤出质量的主要因素有

1)塑料本身的质量(即原材料质量);

2)挤出机的性能;

3)挤出温度;

4)收放线张力;

5)主机及牵引速度;

6)芯线预热塑料挤出后的装置-模具(模具的几何形状结构设计和尺寸、温度高低、压力大小等主要决定)

9.绕包工序主要有1)电缆芯直径D(绕包前缆芯直径);2)绕包升角;3)绕包节距;4)绕包间隙;5)绕包带宽度

10.影响J45挤塑机绝缘线芯绝缘偏心的主要因素有1)导线不平滑或椭圆;2)模芯太大;3)模芯与模套位置未调好;4)模芯口至出口距离太短

11.电线电缆发生击穿可能的原因有1)绝缘原材料本身的介电强度不符合产品要求;2)绝缘层中含有杂质、气泡;3)电线电缆绝缘偏芯;4)机械损伤绝缘;5)导体表面有毛刺、断头等

12.绝缘电阻与体积电阻率在概念上有绝缘电阻描述一种绝缘结构的绝缘性能,如每公里电线的绝缘电阻是多少;体积电阻率描述绝缘材料的优劣程度即绝缘特性区别

13.外护套过程检验项目有1)护套材料;2)平均厚度;3)最薄点厚度;4)护套横断面;5)工频火花试验;6)外表标志;7)外观;8)电缆外径和f值

14.f值是电缆或电缆某元件垂直于轴线的同一截面上测得的最大和最小直径之差

15.最薄点厚度是电缆某元件任一横断面上的最小厚度

16.抽样试验是制造厂按制造批量抽取完整的电线电缆,并从其上切取试样或元件进行的试验

17.成缆检查绝缘线芯质量主要有1)绝缘线芯的导线规格和结构;2)绝缘厚度和外径尺寸是否符合标准;3)绝缘颜色或打印编号是否符合标准。4)检查产品标识及检验状态标识

18.使用工频火花机时要注意1)火花机的电极箱壳体应接地;2)试验电极的两端应接地?;さ缂?;3)安全?;ち爸?,保证在开启试验电极时,自动断开高压电源;4)在使用前应检查安全?;ち爸?,信号铃必须能正常动作;5)操作火花机,应输出电压为零的情况下,关好电极箱,进行启动,试验电压逐步升到额定值;6)被试验电线的导电线芯或屏蔽,应可靠的接地。若有击穿及时复位;7)应定期对火花机的输出电压的稳定性灵敏度进行校验测试等事项

19.导体、绝缘体和半导体:导电能力很强的物体称为导体。凡不能导电的物体都叫绝缘体。`导电性能介于导体和绝缘之间这类物体叫做半导体

20、超导体是电流在导体内流动时,由于导体本身电阻的存在,会在导体内引起发热产生损耗,从而限制了导电的能力。有些导体在低于某一温度时,自身电阻会完全消失,我们将这类金属导体称为超导体21.电阻:电流在导体内流动时所受到的阻力称为电阻

22.批量是指批中所包含的单位产品数;样本大小是指样本中所包含的样本单位数

节径比:节径比分理论节径比和实用节径比,所谓的节径比就是节距(绞距)与直径的比值,若这个直径是节圆直径,所得的结果就是理论节径比,若采用绞合直径来计算,得到的结果就是实用节径比。在理解理论节径比的时候,还要注意一个感念,那就是节圆!节圆就是在同一个绞合层中的导体圆心的轨迹就称为节圆,其直径就是节圆直径!就是节圆直径=绞合外径-导体直径(前提是:绞合导体的单根导体直径相等)

绞合系数:是指在一个绞合节距内,绞合单线的实际长度与绞线节距长度之比 绞入率:就是指在一个绞合节距内,绞合单线的实际长度与绞合节距长度的差值与绞合节距的比值!


转载请注明来自广东雷正电气,本文地址:http://zf29k.wqbzf.cn/cpzs/9177.html
除非注明,广东雷正电气文章均为原创,转载请注明出处和链接!
广告图

服务热线

0769-81815262

0769-81815263

137-9867-7889

功能和特性

价格和优惠

获取内部资料

雷正电气人工客服

人工微信客服

13798677889 在线客服